HIZLI ÇÖZÜM MERKEZİ 0256 741 20 03

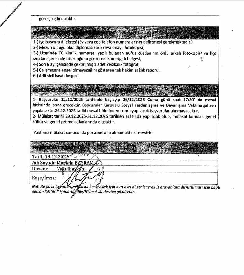
KARPUZLU SOSYAL YARDIMLAŞMA VE DAYANIŞMA VAKFI TEMİZLİK PERSONELİ GEÇİCİ İŞÇİ ALIM İLANI

KARPUZLU SOSYAL YARDIMLAŞMA VE DAYANIŞMA VAKFI VEFA YAŞLI EVDE BAKIM PROGRAMI KAPSAMINDA TEMİZLİK PERSONELİ GEÇİCİ İŞÇİ ALIM İLANI

 

GİZLE
Aydın Hava Durumu